Задать свой вопрос   *более 50 000 пользователей получили ответ на «Решим всё»

Задача 80875 как определить знаки на интервале? как...

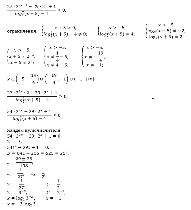
Условие

как определить знаки на интервале? как понять без калькулятора, что -3log_(2)3 меньше -4,75? и какое решение неравенства будет?

математика 10-11 класс 20

Решение

Написать комментарий

Меню

Присоединяйся в ВК