Задать свой вопрос   *более 50 000 пользователей получили ответ на «Решим всё»

Задача 80866 13 а) Решите уравнение: ...

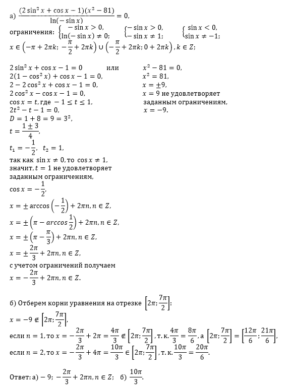
Условие

13 а) Решите уравнение:
[m]\frac{(2\sin^2 x + \cos x - 1)(x^2 - 81)}{\ln(-\sin x)} = 0[/m].

б) Найдите корни, принадлежащие отрезку: [m]\left[2\pi; \frac{7\pi}{2}\right][/m].

математика 10-11 класс 99

Решение

Написать комментарий

Меню

Присоединяйся в ВК