Задать свой вопрос   *более 50 000 пользователей получили ответ на «Решим всё»

Задача 80848 Решите, пожалуйста ...

Условие

Решите, пожалуйста

математика ВУЗ 39

Решение

Все решения

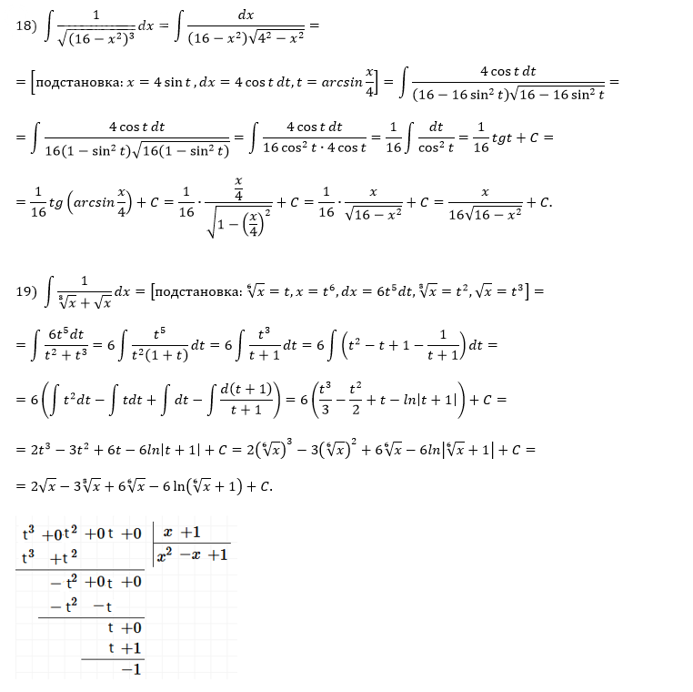
18.
[b]Замена переменной
[/b]

[m]x=4 sint[/m]

тогда

[m]dx=(4 sint)` dt=4cost dt[/m]

получим

[m] ∫ \frac{4cost }{(\sqrt(16-16sin^2t)^3)}dt= ∫ \frac{4cost }{64(\sqrt(1-sin^2t)^3)}dt= ∫ \frac{4cost }{64(cos^3t)}dt=\frac{1}{16} ∫ \frac{1}{cos^2t}dt=\frac{1}{16}tgt +C[/m]

[m]x=4 sint ⇒ sint=\frac{x}{4} ⇒cost=\sqrt{1-sin^2t}=\sqrt{1-(\frac{x}{4})^2}=\frac{\sqrt{16-x^2}}{4}[/m]

Так как

[m]tgt=\frac{sint}{cost}=\frac{\frac{x}{4}}{\frac{\sqrt{16-x^2}}{4}}=\frac{x}{\sqrt{16-x^2}}[/m]

получаем ответ

[m]\frac{1}{16}\frac{x}{\sqrt{16-x^2}}+C[/m]

19.

[b]Замена переменной
[/b]
[m]x=t^6[/m]

тогда

[m] dx=(t^6)`dt=6t^5dt[/m]

[m]\sqrt[3]{x}=\sqrt[3]{t^6}=t^2[/m]

[m]\sqrt{x}=\sqrt{t^6}=t^3[/m]

получим интеграл:

[m]∫\frac{6t^5}{t^2+t^3}dt= 6∫\frac{t^5}{t^2(1+t)}dt= 6∫\frac{t^3}{1+t}dt= [/m]

Под знаком интеграла[b] [i]неправильная дробь[/i][/b], выделяем[b] целую часть[/b] ( для этого прибавляем к числителю 1 и вычитаем 1 и почленно делим):

[m]6∫\frac{t^3}{1+t}dt=∫\frac{t^3+1-1}{1+t}dt=6∫(\frac{t^3+1}{1+t}-\frac{1}{1+t})dt=6 ∫t^2-t+1+\frac{1}{t+1})dt=[/m]

[m]=6(\frac{t^3}{3}-\frac{t^2}{2}+t-ln|t+1|)+C=2t^3-3t^2+6t-6ln|1+t|+C [/m]


обратный переход к переменной х:[m]x=t^6[/m] ⇒ [m]t=\sqrt[6]{x}[/m]; [m]t^3=\sqrt{x}[/m];[m]t^2=\sqrt[3]{x}[/m];

получаем ответ:

[m]2\sqrt{x}-3\sqrt[3]{x}+6\sqrt[6]{x}-6ln|1+\sqrt[6]{x}|+C [/m]


Написать комментарий

Меню

Присоединяйся в ВК