Задать свой вопрос
*более 50 000 пользователей получили ответ на «Решим всё»
Задача 80846
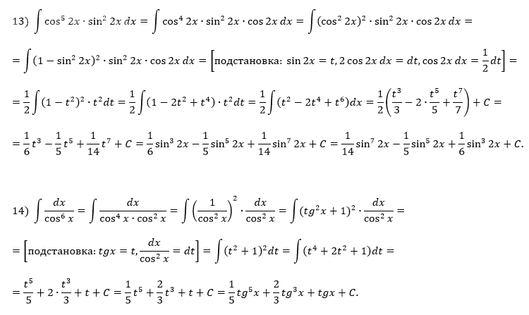
Найти интегралы от тригонометрических...
Условие
68e181a4d4282d71f8dd33b0
3/15/2026 10:59:42 AM
Найти интегралы от тригонометрических функций
математика ВУЗ
21
Решение
5f3eaa23faf909182968dde0
3/15/2026 3:46:17 PM
★
Написать комментарий
Меню
Решим всё
Найти задачу
Категории
Статьи
Тесты
Архив задач
Присоединяйся в ВК