Задать свой вопрос
*более 50 000 пользователей получили ответ на «Решим всё»
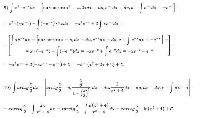
Задача 80844
Решите, пожалуйста ...
Условие
68e181a4d4282d71f8dd33b0
3/15/2026 10:57:30 AM
Решите, пожалуйста
математика ВУЗ
28
Решение
5f3eaa23faf909182968dde0
3/15/2026 2:17:32 PM
★
Написать комментарий
Меню
Решим всё
Найти задачу
Категории
Статьи
Тесты
Архив задач
Присоединяйся в ВК