Задать свой вопрос
*более 50 000 пользователей получили ответ на «Решим всё»
Задача 80843
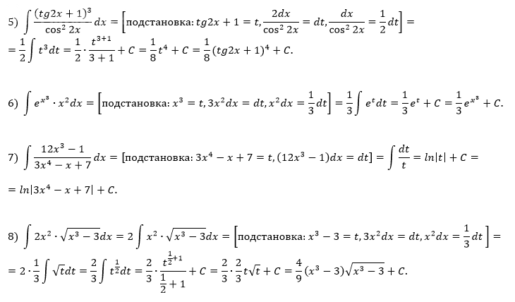
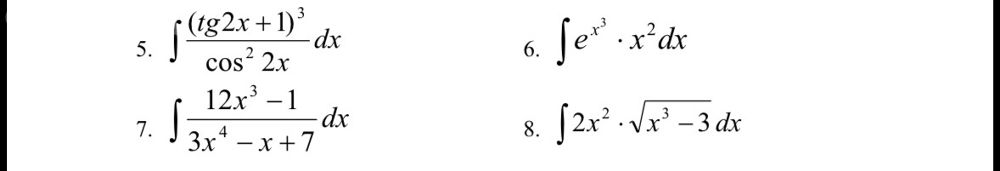
Найти интегралы, используя таблицу...
Условие
68e181a4d4282d71f8dd33b0
3/15/2026 10:56:15 AM
Найти интегралы, используя таблицу интегралов
математика ВУЗ
24
Решение
5f3eaa23faf909182968dde0
3/15/2026 1:58:19 PM
★
Написать комментарий
Меню
Решим всё
Найти задачу
Категории
Статьи
Тесты
Архив задач
Присоединяйся в ВК