Задать свой вопрос
*более 50 000 пользователей получили ответ на «Решим всё»
Задача 80755
Помогите решить неравенства схемами(16.6...
Условие
6941e6e2fc938919023f43d3
2/3/2026 12:36:24 PM
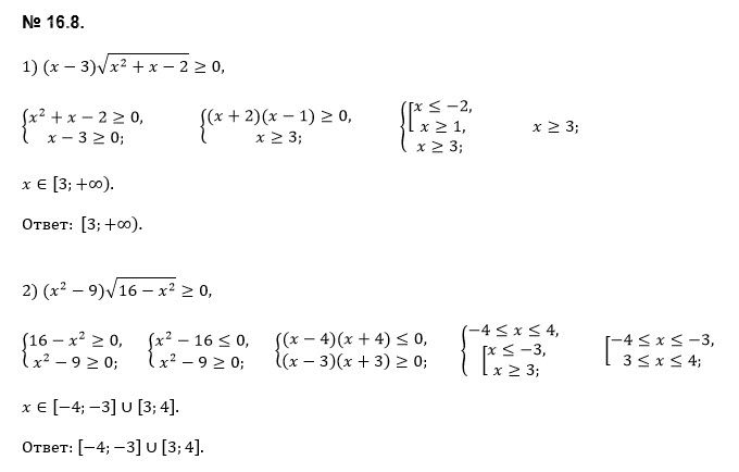
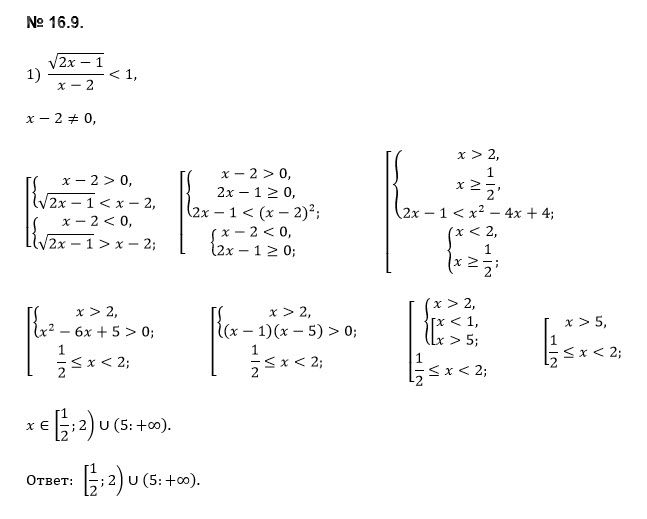
Помогите решить неравенства схемами(16.6 по 16.9, только 1 и 2 неравенства. 3 и 4 не надо.)
математика 10-11 класс
35
Решение
5f3eaa23faf909182968dde0
2/3/2026 1:23:04 PM
★
Написать комментарий
Меню
Решим всё
Найти задачу
Категории
Статьи
Тесты
Архив задач
Присоединяйся в ВК