Задать свой вопрос   *более 50 000 пользователей получили ответ на «Решим всё»

Задача 80700 вычислить пределы функций не пользуясь...

Условие

вычислить пределы функций не пользуясь правилом лопиталя

математика 100

Решение

Все решения

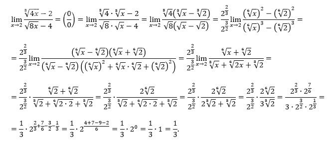
Рассматриваем предел

lim _{x→2} ∛(4x−2) / √(8x−4).

1. Проверяем вид предела.
При x = 2 подкоренные выражения положительны и не обращаются в нуль:
• 4·2 − 2 = 6 ≠ 0,
• 8·2 − 4 = 12 ≠ 0.

Оба корня определены, поэтому точка x = 2 лежит в области непрерывности каждой из функций
x ↦ (4x−2)^{1/3} и x ↦ (8x−4)^{1/2}.
А композиция непрерывных функций также непрерывна.

2. Следовательно, предел равен значению функции в точке x = 2 (правило непрерывности):

lim _{x→2} ∛(4x−2) / √(8x−4)
= ∛(4·2 − 2) / √(8·2 − 4)
= ∛6 / √12.

3. Упрощаем знаменатель: √12 = √(4·3) = 2√3.

Предел = ∛6 / (2√3).

(По желанию можно оставить так или записать в степенной форме: 6^{1/3}/(2·3^{1/2}).)

Ответ: ∛6 ⁄ (2√3).

[m]lim_{x → 2}\frac{\sqrt[3]{4x}-2}{\sqrt{8x}-4}=\frac{0}{0}[/m] - неопределенность

Эту [b]неопределенность устраняют

умножением и числителя и знаменателя на произведение выражений, сопряженных и числителю и знаменателю (!!!)
[/b]
[m] (\sqrt[3]{(4x)^2}+2\sqrt[3]{4x}+4)\cdot (\sqrt{8x}+4)[/m]

и применяют формулы:

(a-b)*(a+b)=a^2-b^2
(a-b)(a^2+ab+b^2)=a^3-b^3


[m]lim_{x → 2}\frac{(\sqrt[3]{4x}-2)(\sqrt[3]{(4x)^2}+2\sqrt[3]{4x}+4)\cdot (\sqrt{8x}+4)}{(\sqrt{8x}-4)(\sqrt[3]{(4x)^2}+2\sqrt[3]{4x}+4)\cdot (\sqrt{8x}+4)}=lim_{x → 2}\frac{(\sqrt[3]{4x})^3-2^2)\cdot(\sqrt{8x}+4 )}{((\sqrt{8x})^2-4^2)\cdot(\sqrt[3]{(4x)^2}+2\sqrt[3]{4x}+4)}=lim_{x →2}\frac{(4x-8)\cdot(\sqrt{8x}+4 )}{(8x-16)\cdot(\sqrt[3]{(4x)^2}+2\sqrt[3]{4x}+4)}=[/m][m]=lim_{x →2}\frac{4(x-2)\cdot(\sqrt{8x}+4 )}{8(x-2)\cdot(\sqrt[3]{(4x)^2}+\sqrt[3]{4x}+4)}[/m]

[b]сокращаем и числитель и знаменатель на [m](x-2)[/m] (!!!) ( этим и устраняется неопределенность)
[/b]
получим:

[m]=lim_{x →2}\frac{4\cdot(\sqrt{8x}+4 )}{8\cdot(\sqrt[3]{(4x)^2}+2\sqrt[3]{4x}+4)}=\frac{4\cdot(\sqrt{8\cdot 2}+4 )}{8\cdot(\sqrt[3]{(4\cdot 2)^2}+2\sqrt[3]{4\cdot 2}+4)}=\frac{4\cdot (4+4)}{8\cdot (4+4+4)}=\frac{1}{3}[/m]

Написать комментарий

Меню

Присоединяйся в ВК