Задать свой вопрос   *более 50 000 пользователей получили ответ на «Решим всё»

Задача 80699 \frac{x^2 - 14x + 49}{x^2 + 12x + 36} +...

Условие

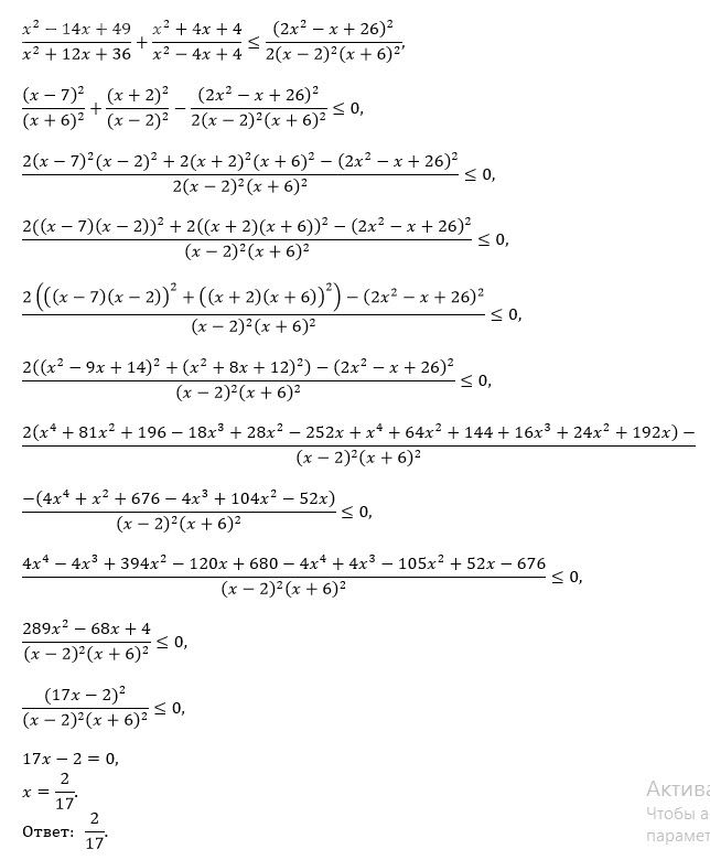
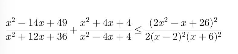
\frac{x^2 - 14x + 49}{x^2 + 12x + 36} + \frac{x^2 + 4x + 4}{x^2 - 4x + 4} \le \frac{(2x^2 - x + 26)^2}{2(x-2)^2 (x+6)^2}

67

Решение

Все решения

Написать комментарий

Меню

Присоединяйся в ВК