Задать свой вопрос   *более 50 000 пользователей получили ответ на «Решим всё»

Задача 80696 ...

Условие

Решим все задачи из варианта.
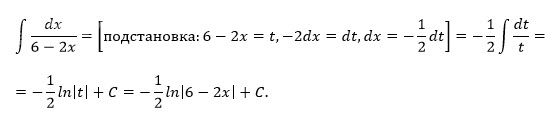
1.1. ∫ dx / (6 - 2x)

колледж 65

Решение

Все решения

[m]\int \frac{dx}{6 - 2x}[/m]
Есть табличный интеграл:
[m]\int \frac{dx}{x} = \ln |x| + C[/m]
И есть правило деления на коэффициент:
[m]\int f(ax + b) dx = \frac{1}{a} \cdot F(ax + b) + C[/m]
где F(ax + b) - это первообразная подынтегральной функции.
Применяем это правило на этом интеграле:
[m]\int \frac{dx}{6 - 2x} = \frac{1}{-2} \cdot \ln |6 - 2x| + C = -\frac{1}{2} \cdot \ln |6 - 2x| + C[/m]

Написать комментарий

Меню

Присоединяйся в ВК