Задать свой вопрос
*более 50 000 пользователей получили ответ на «Решим всё»
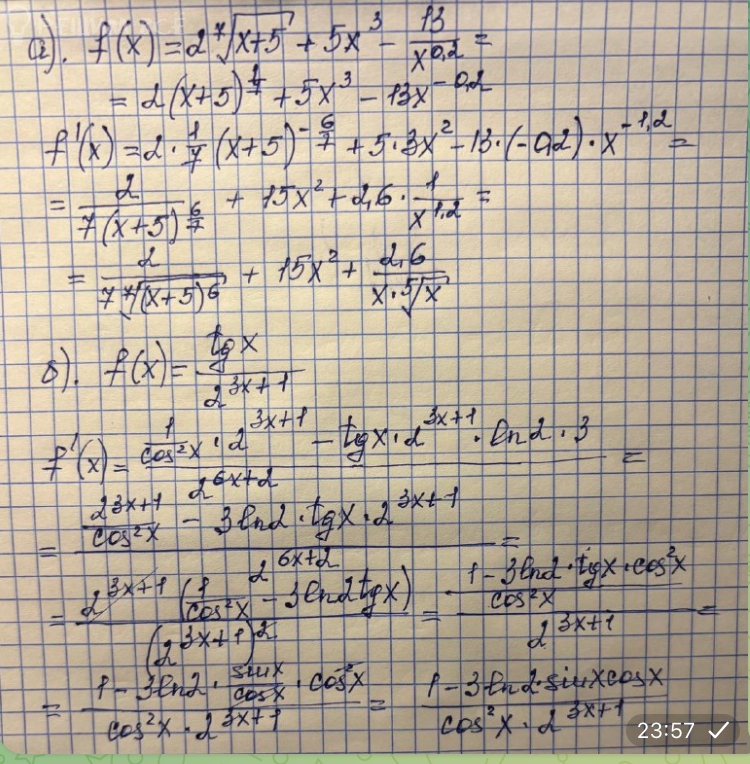
Задача 80677
7 задание...
Условие
694856d4fc938919023f485c
12/21/2025 8:22:29 PM
7 задание
математика 10-11 класс
49
Решение
692ecb44a0211e4a1fadc32d
12/21/2025 9:07:32 PM
★
Написать комментарий
Меню
Решим всё
Найти задачу
Категории
Статьи
Тесты
Архив задач
Присоединяйся в ВК