Задать свой вопрос
*более 50 000 пользователей получили ответ на «Решим всё»
Задача 80640
Решение неравенств с помощью...
Условие
69414f63fc938919023f4369
12/16/2025 12:25:43 PM
Решение неравенств с помощью знакотождественных множеств.
математика 10-11 класс
52
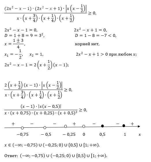
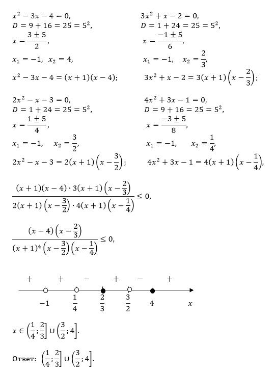
Решение
5f3eaa23faf909182968dde0
12/16/2025 5:36:45 PM
★
Написать комментарий
Меню
Решим всё
Найти задачу
Категории
Статьи
Тесты
Архив задач
Присоединяйся в ВК