Задать свой вопрос
*более 50 000 пользователей получили ответ на «Решим всё»
Задача 80631
...
Условие
69383d1ba0211e4a1fadcf4e
12/11/2025 8:49:18 AM
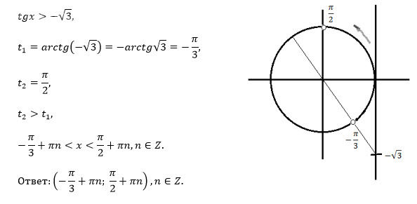
решите неравенство
tgx> - √3 с единичной окружностью
98
Решение
5f3eaa23faf909182968dde0
12/11/2025 9:30:31 AM
★
Написать комментарий
Меню
Решим всё
Найти задачу
Категории
Статьи
Тесты
Архив задач
Присоединяйся в ВК