Задать свой вопрос
*более 50 000 пользователей получили ответ на «Решим всё»
Задача 80610
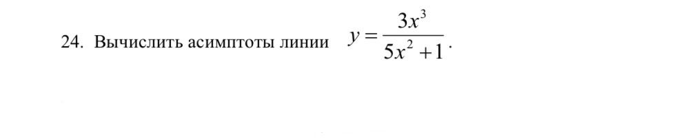
Решите задание ...
Условие
68e181a4d4282d71f8dd33b0
12/9/2025 2:52:19 PM
Решите задание
математика ВУЗ
51
Решение
5f3eaa23faf909182968dde0
12/9/2025 4:54:43 PM
★
Написать комментарий
Меню
Решим всё
Найти задачу
Категории
Статьи
Тесты
Архив задач
Присоединяйся в ВК