Задать свой вопрос   *более 50 000 пользователей получили ответ на «Решим всё»

Задача 80546 АИиАГ Вариант №2 Решите систему...

Условие

АИиАГ
Вариант №2
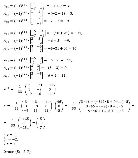
Решите систему линейных алгебраических уравнений
в) матричным способом

{
3x - 5y + 3z = 46,
x + 2y + z = 8,
x - 7y - 2z = 5
}

нет в списке ВУЗ 40

Решение

Написать комментарий

Меню

Присоединяйся в ВК