Задать свой вопрос   *более 50 000 пользователей получили ответ на «Решим всё»

Задача 80514 ...

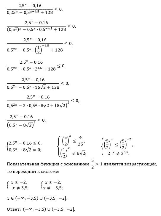
Условие

математика 10-11 класс 81

Решение

Все решения

Ниже показан один из возможных способов решения ­–- шаг за шагом, с пояснениями, как строился знак-график.
(Пояснения даны подробно, щоб по ним можно было восстановить решение даже если Вы перепишете условие в «чистые» ­дроби.)

Дано неравенство

2·5^x – 0,16
(1) ---------------- ≤ 0
0,25 – 0,5·5^{x+5} + 128

(если в Вашем условии показатель степени немного другой ‑ поменяются лишь расчёты пунктов 2–3; логика останется та же).

1. Область допустимых значений (ОДЗ)
знаменатель не должен обращаться в нуль:

0,25 – 0,5·5^{x+5} + 128 ≠ 0. (2)

2. Нули числителя
2·5^x – 0,16 = 0 ⇒ 5^x = 0,08 = 2/25

x₁ = log₅(2/25) = log₅2 – 2 ≈ –1,569.

При x < x₁ числитель < 0, при x > x₁ ­–- положителен.

3. Нули знаменателя
Из (2):

0,25 – 0,5·5^{x+5} + 128 = 0
⇔ 0,5·5^{x+5} = 128,25
⇔ 5^{x+5} = 256,5
⇔ 5^x = 256,5 / 3125 ≈ 0,08208

x₂ = log₅(256,5/3125) ≈ –1,553 .

При x < x₂ знаменатель > 0, при x > x₂ знаменатель < 0.
Точку x₂ из-за ОДЗ исключаем.

Замечание: оба числа –1,569 и –1,553 очень близки, но порядок остаётся
x₁ < x₂.

4. Сводим всё в таблицу знаков

─────────┬─────────┬────────┬────────
│ x < x₁ │ x₁ │ x₁<x<x₂ │ x₂ │ x > x₂
─────────┼─────────┼────────┼─────────┼────┼─────────
Числ-ль │ – │ 0 │ + │ + │ +
Знам-ль │ + │ + │ + │ 0 │ –
Дробь │ – │ 0 │ + │ ‑ │ –
─────────┴─────────┴────────┴─────────┴────┴─────────

5. Требуется «≤ 0» ⇒ берём участки, где дробь отрицательна или равна нулю.
Получаем

x ∈ (–∞ ; x₁] ∪ (x₂ ; +∞).

Подставляя точные выражения для x₁ и x₂:

x ∈ ( –∞ ; log₅(2) – 2 ] ∪ ( log₅(256,5/3125) ; +∞ ).

6. Ответ (с указанием точных и приближённых значений):

( –∞ ; log₅ 2 – 2 ] ∪ ( log₅(256,5/3125) ; +∞ )
≈ ( –∞ ; –1,569 ] ∪ ( –1,553 ; +∞ ).

Если знаменатель в исходном задании выглядит иначе (например, степень не x+5, а x+3 или база 0,5, а не коэффициент 0,5), перепишите пункты 2-3 под своё выражение: найдите корни числителя, корни знаменателя, расставьте знаки – принцип решения останется неизменным.

Написать комментарий

Меню

Присоединяйся в ВК