Задать свой вопрос
*более 50 000 пользователей получили ответ на «Решим всё»
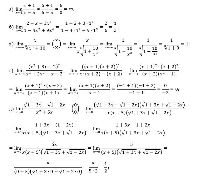
Задача 80501
...
Условие
68e181a4d4282d71f8dd33b0
11/12/2025 6:44:46 AM
математика ВУЗ
22
Решение
5f3eaa23faf909182968dde0
11/12/2025 10:26:44 AM
★
Написать комментарий
Меню
Решим всё
Найти задачу
Категории
Статьи
Тесты
Архив задач
Присоединяйся в ВК