Задать свой вопрос   *более 50 000 пользователей получили ответ на «Решим всё»

Задача 80495 ...

Условие

Помогите решить 19.9 номер

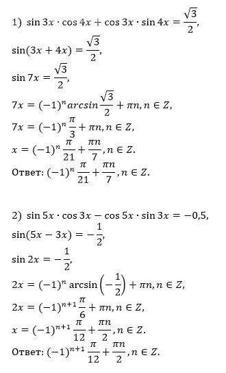
19.9.1) sin3x · cos4x + cos3x · sin4x = √3/2 ;

2) sin5x · cos3x – cos5x · sin3x = –0,5;

3) cos8x · cos4x + sin8x · sin4x = –1/2;

4) cos3x · cos4x – sin3x · sin4x = 1/2.

математика 10-11 класс 114

Решение

Написать комментарий

Меню

Присоединяйся в ВК