Задать свой вопрос
*более 50 000 пользователей получили ответ на «Решим всё»
Задача 80483
Добрый день! Прошу решить задачу по...
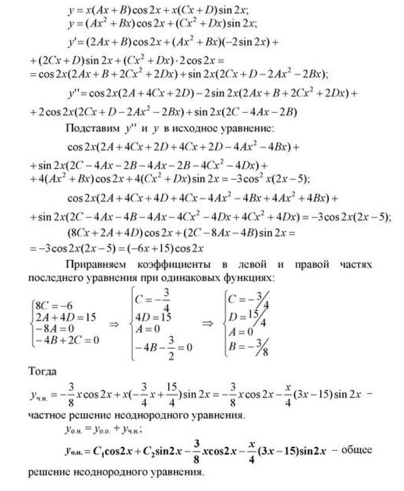
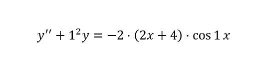
Условие
677a2db18d98915ef034619e
11/4/2025 9:28:07 AM
Добрый день! Прошу решить задачу по образцу.
математика ВУЗ
53
Решение
5f3eaa23faf909182968dde0
11/6/2025 8:13:10 AM
★
Написать комментарий
Меню
Решим всё
Найти задачу
Категории
Статьи
Тесты
Архив задач
Присоединяйся в ВК