Задать свой вопрос
*более 50 000 пользователей получили ответ на «Решим всё»
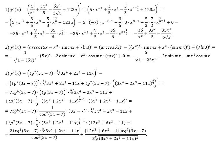
Задача 80460
Нужно решить задачу номер 4...
Условие
6654737b3528112db82d8cf9
10/24/2025 2:38:13 PM
Нужно решить задачу номер 4
42
Решение
5f3eaa23faf909182968dde0
10/25/2025 11:34:30 AM
★
Написать комментарий
Меню
Решим всё
Найти задачу
Категории
Статьи
Тесты
Архив задач
Присоединяйся в ВК