Задать свой вопрос
*более 50 000 пользователей получили ответ на «Решим всё»
Задача 80459
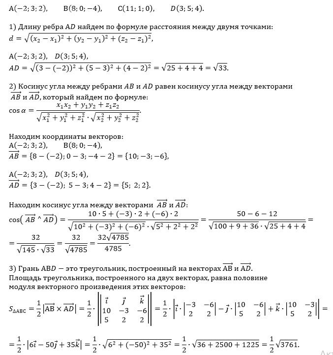
Нужно решить задачу номер 2...
Условие
6654737b3528112db82d8cf9
10/24/2025 2:37:15 PM
Нужно решить задачу номер 2
49
Решение
5f3eaa23faf909182968dde0
10/25/2025 10:54:56 AM
★
Написать комментарий
Меню
Решим всё
Найти задачу
Категории
Статьи
Тесты
Архив задач
Присоединяйся в ВК