Задать свой вопрос   *более 50 000 пользователей получили ответ на «Решим всё»

Задача 80377 Вычислите. Буквы г), д), е). Пожалуйста...

Условие

Вычислите.
Буквы г), д), е).
Пожалуйста ????????????????

математика колледж 82

Решение

Все решения

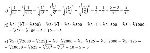
г)
⁴√(1/81) − ∛(1/125)

1/81 = 3⁻⁴ , 1/125 = 5⁻³
⁴√(3⁻⁴) = 3⁻¹ = 1/3
∛(5⁻³) = 5⁻¹ = 1/5

1/3 − 1/5 = (5 − 3)/15 = 2/15

Ответ: 2/15


д)
√2 · (∛4 + ∛500)

∛4 = 4¹ᐟ³ = 2²ᐟ³
500 = 125·4 = 5³·2² ⇒ ∛500 = 5·2²ᐟ³ = 5∛4

√2 · (∛4 + 5∛4) = √2 · 6∛4 = 6√2∛4

Можно объединить показатели степени:
√2∛4 = 2¹ᐟ² · 2²ᐟ³ = 2⁷ᐟ⁶ = 2·2¹ᐟ⁶ = 2·⁶√2

Так что результат можно записать, например, как
6√2∛4  или 12·⁶√2.


е)
⁴√5 · (⁴√2000 − ⁴√125)

Обозначим α = ⁴√5 = 5¹ᐟ⁴.

2000 = 2⁴·5³ ⇒ ⁴√2000 = 2·5³ᐟ⁴ = 2α³
125 = 5³ ⇒ ⁴√125 = 5³ᐟ⁴ = α³

⁴√5·(2α³ − α³) = α·α³ = α⁴ = (5¹ᐟ⁴)⁴ = 5

Ответ: 5

Написать комментарий

Меню

Присоединяйся в ВК