Задать свой вопрос   *более 50 000 пользователей получили ответ на «Решим всё»

Задача 79908 Задание на фото. U= {1, 2, 3, 4, 5, 6,...

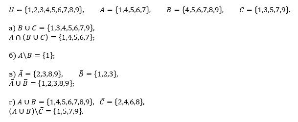
Условие

Задание на фото.
U= {1, 2, 3, 4, 5, 6, 7, 8, 9}
A= {1, 4, 5, 6, 7}
B= {4, 5, 6, 7, 8, 9}
С= {1, 3, 5, 7, 9}

математика ВУЗ 60

Решение

Написать комментарий

Меню

Присоединяйся в ВК