Задать свой вопрос
*более 50 000 пользователей получили ответ на «Решим всё»
Задача 79904
Сегодня крайний день. Вариант 1.20 ,...
Условие
67582bca831a692094d3de21
5/13/2025 7:22:33 AM
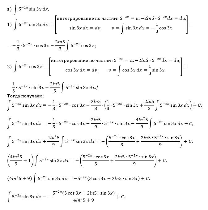
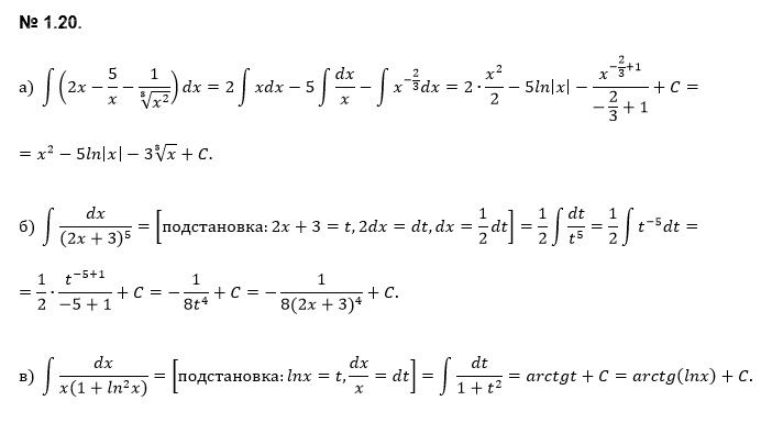
Сегодня крайний день. Вариант 1.20 , 2.20,(а, б, в). Найти неопределенный интеграл
математика колледж
78
Решение
5f3eaa23faf909182968dde0
5/13/2025 12:22:35 PM
★
Написать комментарий
Меню
Решим всё
Найти задачу
Категории
Статьи
Тесты
Архив задач
Присоединяйся в ВК