Задать свой вопрос
*более 50 000 пользователей получили ответ на «Решим всё»
Задача 79888
...
Условие
658677fcf6f382387af6dca2
5/15/2025 1:37:03 PM
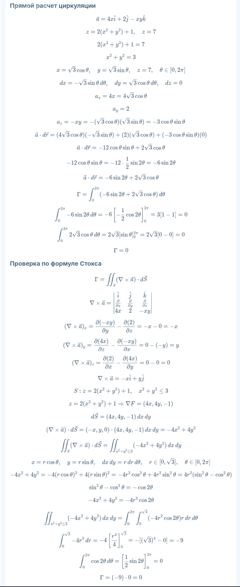
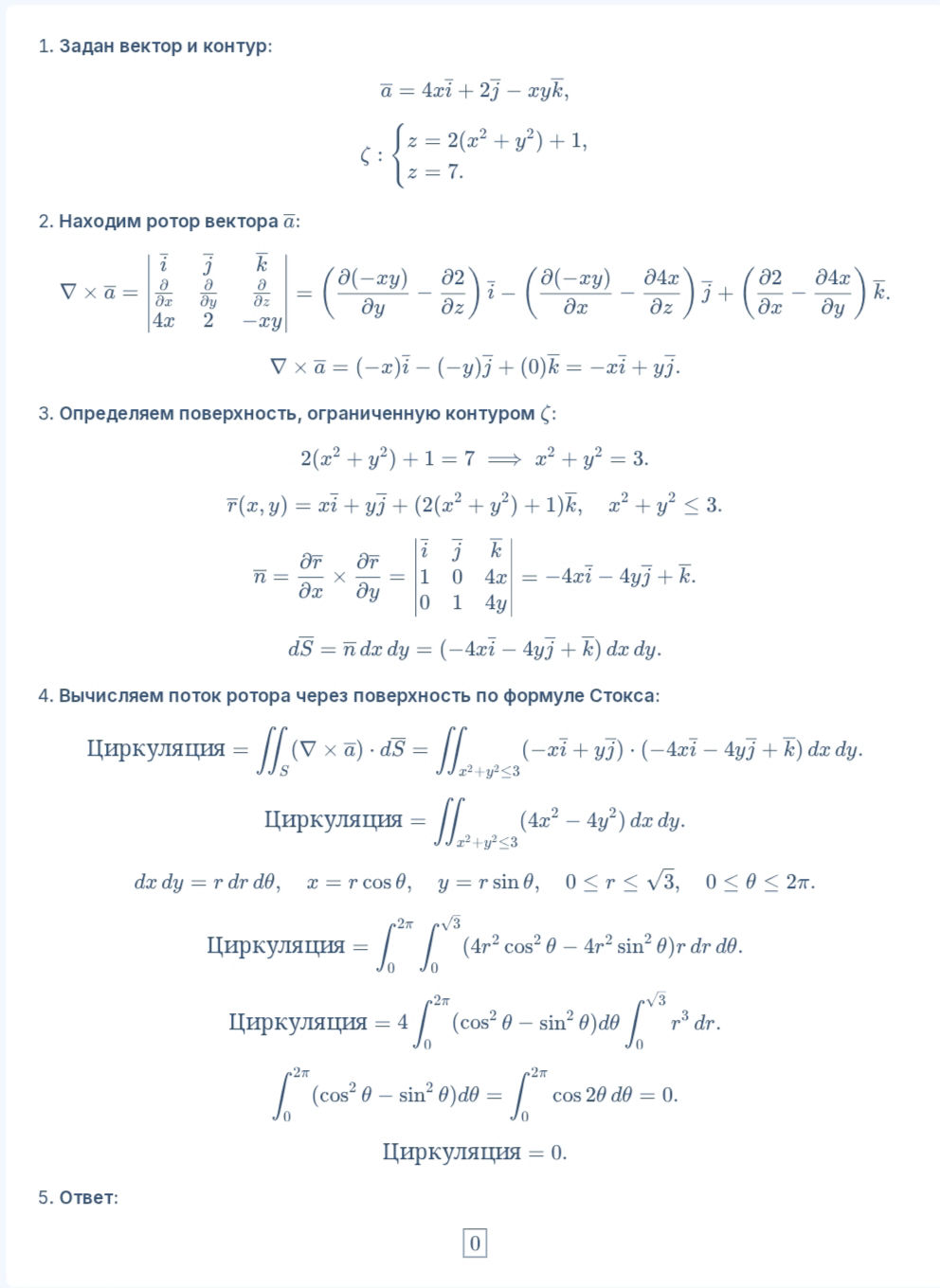
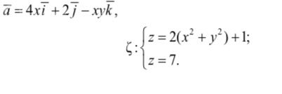
Найти циркуляцию вектора a по указанному контуру ξ непосредственно и по формуле Стокса.
математика ВУЗ
75
Решение
675fe0ac81699f399ffe47ad
5/15/2025 4:36:04 PM
★
Написать комментарий
Меню
Решим всё
Найти задачу
Категории
Статьи
Тесты
Архив задач
Присоединяйся в ВК