Задать свой вопрос
*более 50 000 пользователей получили ответ на «Решим всё»
Задача 79884
...
Условие
672457a75a00e67c51d40736
5/14/2025 9:29:25 AM
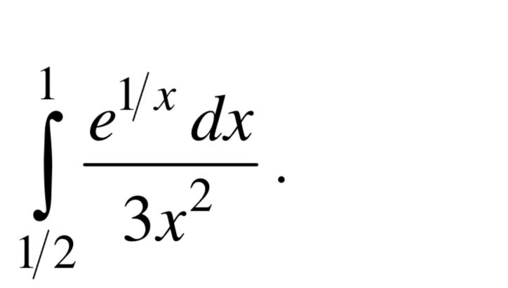
∫[from 1/2 to 1] (e^(1/x) dx) / (3x^2).
математика ВУЗ
79
Решение
5f3eaa23faf909182968dde0
5/14/2025 5:25:42 PM
★
Написать комментарий
Меню
Решим всё
Найти задачу
Категории
Статьи
Тесты
Архив задач
Присоединяйся в ВК