Задать свой вопрос
*более 50 000 пользователей получили ответ на «Решим всё»
Задача 79883
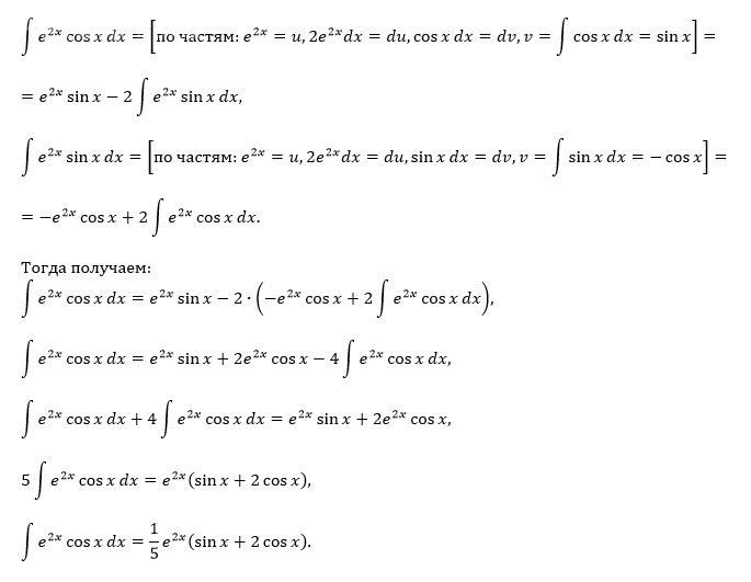
Вычислить интеграл методом...
Условие
672457a75a00e67c51d40736
5/14/2025 9:28:43 AM
Вычислить интеграл методом интегрирования по
частям.
математика ВУЗ
56
Решение
5f3eaa23faf909182968dde0
5/14/2025 5:11:46 PM
★
Написать комментарий
Меню
Решим всё
Найти задачу
Категории
Статьи
Тесты
Архив задач
Присоединяйся в ВК