Задать свой вопрос
*более 50 000 пользователей получили ответ на «Решим всё»
Задача 79872
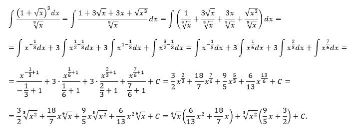
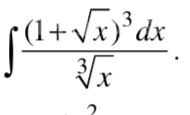
Вычислить интеграл, непосредственно...
Условие
6618fb8b4a3be8186eae5c7c
5/14/2025 12:16:14 PM
Вычислить интеграл, непосредственно интегрируя
или используя подведение под знак дифференциала.
математика ВУЗ
77
Решение
5f3eaa23faf909182968dde0
5/14/2025 5:01:04 PM
★
Написать комментарий
Меню
Решим всё
Найти задачу
Категории
Статьи
Тесты
Архив задач
Присоединяйся в ВК