Задать свой вопрос
*более 50 000 пользователей получили ответ на «Решим всё»
Задача 79856
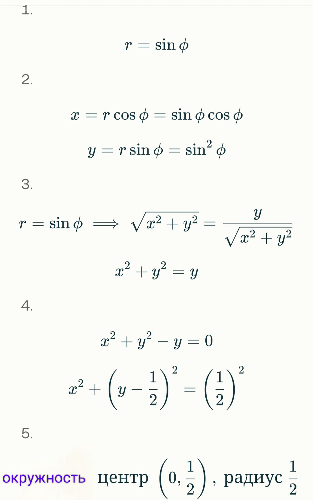
Построить в полярной системе координат...
Условие
6618fb8b4a3be8186eae5c7c
5/12/2025 5:23:24 PM
Построить в полярной системе координат
математика ВУЗ
108
Решение
675fe0ac81699f399ffe47ad
5/13/2025 5:22:04 AM
★
Написать комментарий
Меню
Решим всё
Найти задачу
Категории
Статьи
Тесты
Архив задач
Присоединяйся в ВК