Задать свой вопрос   *более 50 000 пользователей получили ответ на «Решим всё»

Задача 79846 Исследовать фукцию полностью ( подробно...

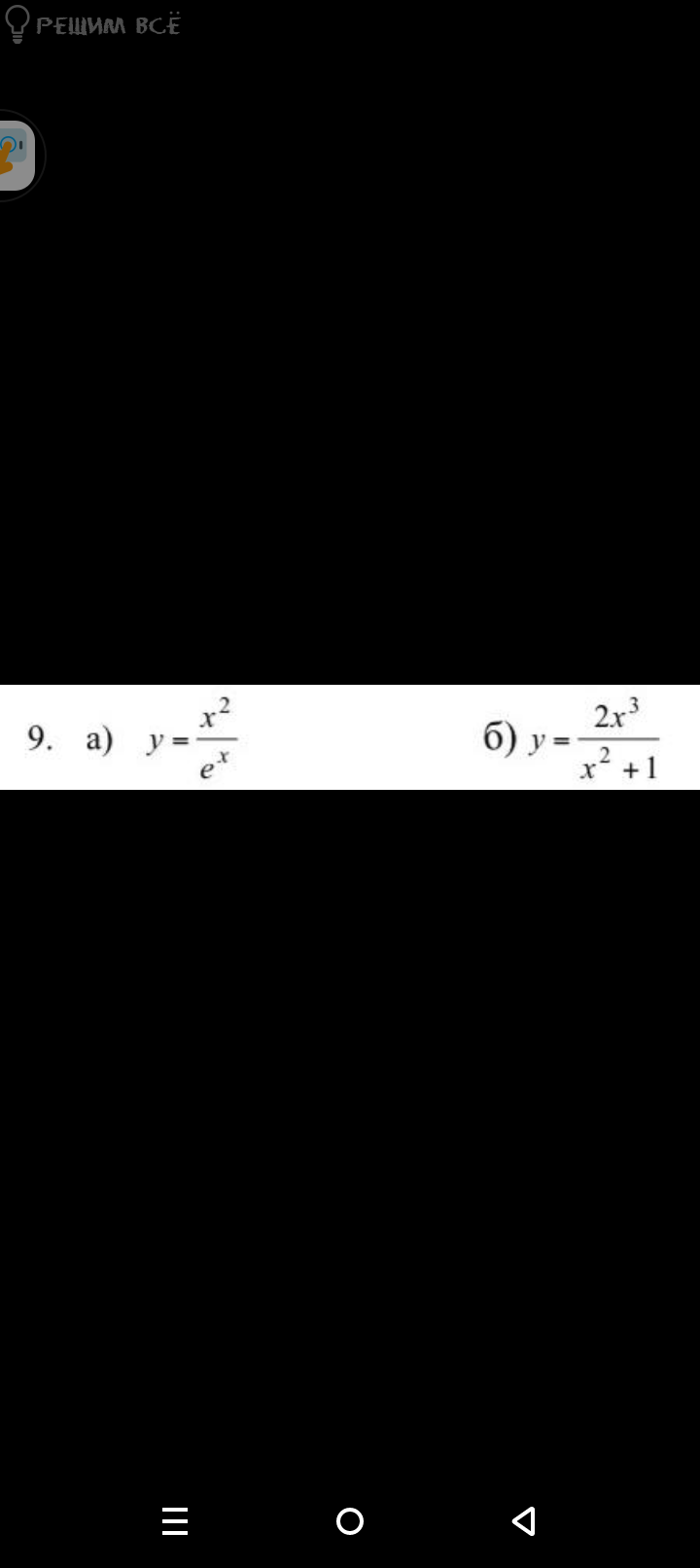
Условие

Исследовать фукцию полностью ( подробно решить , во время построения найти доп, точки х у )
Номер 9 а)

73

Решение

Написать комментарий

Меню

Присоединяйся в ВК