Задать свой вопрос   *более 50 000 пользователей получили ответ на «Решим всё»

Задача 79815 Случайная величина Х задана...

Условие

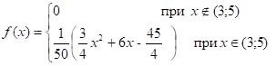
Случайная величина Х задана дифференциальной функцией распределения. Найти интегральную функцию, математическое ожидание и дисперсию Х.

математика ВУЗ 270

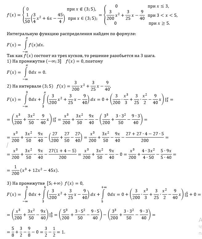
Решение

Написать комментарий

Меню

Присоединяйся в ВК