Задать свой вопрос
*более 50 000 пользователей получили ответ на «Решим всё»
Задача 79808
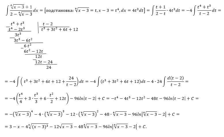
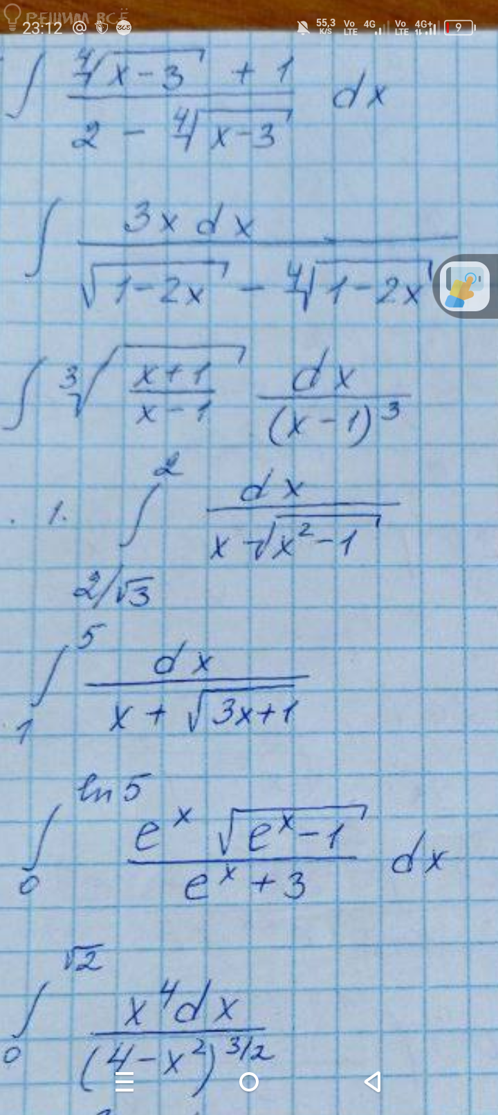
Нужно решить задачу подробно 1...
Условие
675ab27187aa81739148baf3
4/27/2025 4:15:31 PM
Нужно решить задачу подробно 1
227
Решение
5f3eaa23faf909182968dde0
4/27/2025 6:03:24 PM
★
Написать комментарий
Меню
Решим всё
Найти задачу
Категории
Статьи
Тесты
Архив задач
Присоединяйся в ВК