Задать свой вопрос   *более 50 000 пользователей получили ответ на «Решим всё»

Задача 79801 По плану производства предприятию надо...

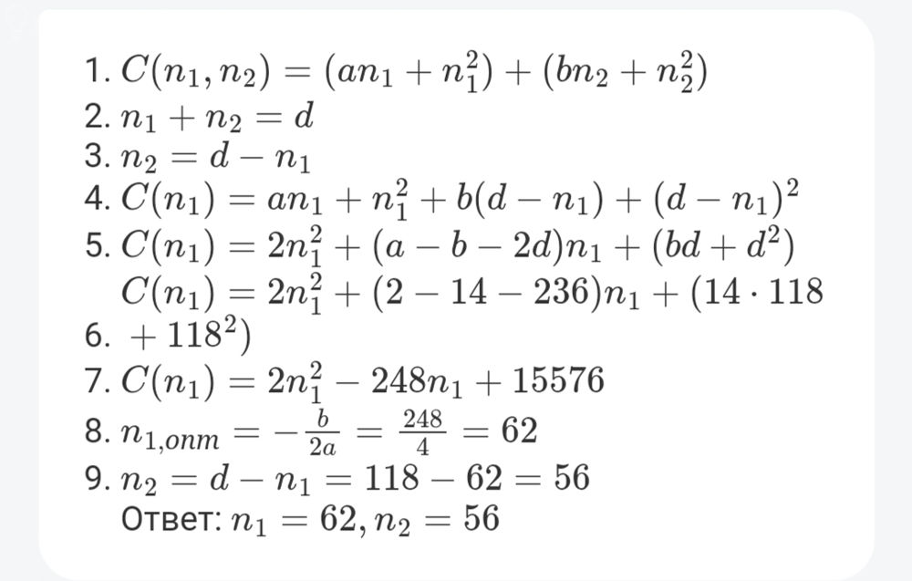
Условие

По плану производства предприятию надо изготовить d изделий. Эти изделия изготавливаются по двум технологиям. Производственные затраты на изготовление п изделий первым способом составляют аn+n2, а вторым bn+n2. Сколько изделий каждого вида надо изготовить, чтобы затраты на их производство были бы минимальными?

a = 2
b = 14
d = 118

математика ВУЗ 249

Решение

Все решения

2 варианта решения, какой верно неизвестно

Написать комментарий

Меню

Присоединяйся в ВК