Задать свой вопрос
*более 50 000 пользователей получили ответ на «Решим всё»
Задача 79798
найти площадь фигуры, изображенной на...
Условие
67ab0677f2326836aacaeea5
4/24/2025 5:33:07 PM
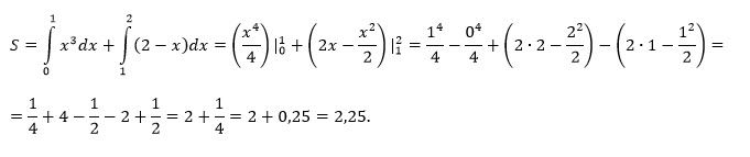
найти площадь фигуры, изображенной на рисунке
151
Решение
5f3eaa23faf909182968dde0
4/25/2025 6:57:15 AM
★
Написать комментарий
Меню
Решим всё
Найти задачу
Категории
Статьи
Тесты
Архив задач
Присоединяйся в ВК