Задать свой вопрос
*более 50 000 пользователей получили ответ на «Решим всё»
Задача 79791
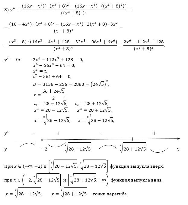
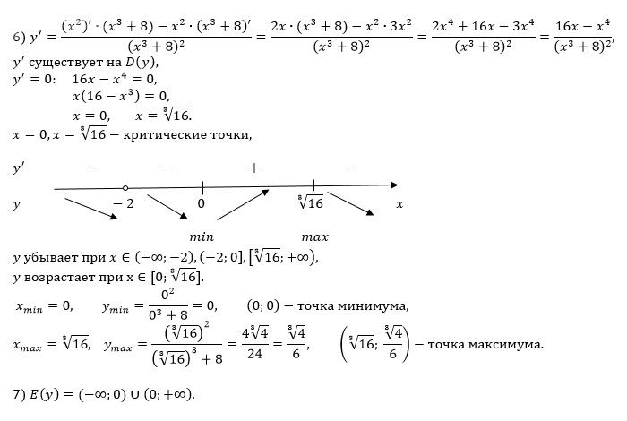
Исследовать функцию и построить ее...
Условие
65f295c270b1b96d1e7f41e7
4/23/2025 3:41:36 PM
Исследовать функцию и построить ее график:
математика колледж
162
Решение
5f3eaa23faf909182968dde0
4/24/2025 2:56:38 PM
★
Написать комментарий
Меню
Решим всё
Найти задачу
Категории
Статьи
Тесты
Архив задач
Присоединяйся в ВК