Задать свой вопрос
*более 50 000 пользователей получили ответ на «Решим всё»
Задача 79769
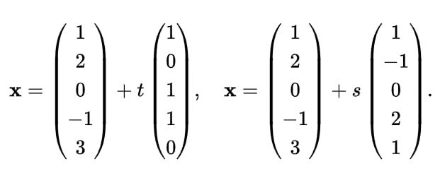
Найти прямую, проходящую через начало...
Условие
675fe0ac81699f399ffe47ad
4/24/2025 8:46:55 PM
Найти прямую, проходящую через начало координат и пересекающую эти две
нет в списке ВУЗ
161
Решение
5f3eaa23faf909182968dde0
4/25/2025 4:00:51 AM
★
Написать комментарий
Меню
Решим всё
Найти задачу
Категории
Статьи
Тесты
Архив задач
Присоединяйся в ВК