Задать свой вопрос
*более 50 000 пользователей получили ответ на «Решим всё»
Задача 79765
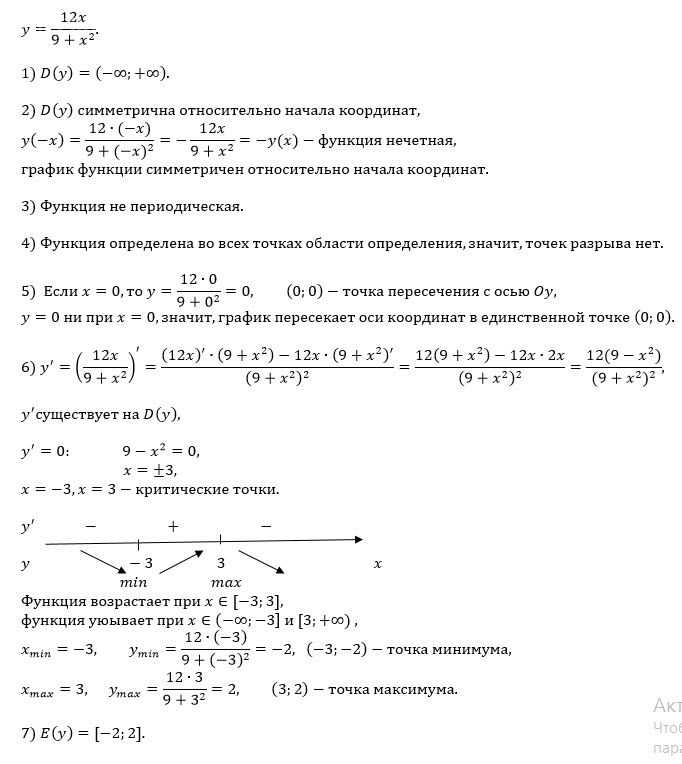
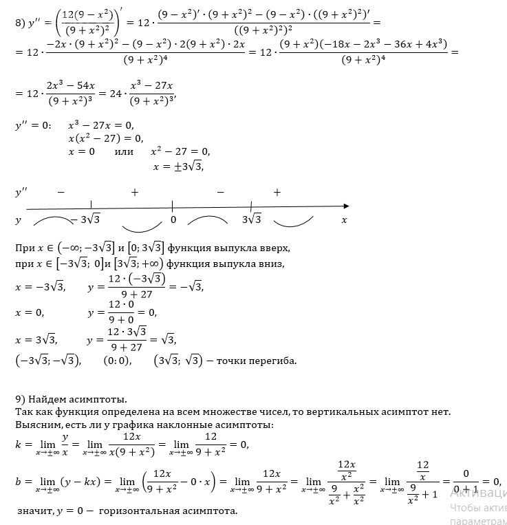
Нужно исследовать фукцию полностью 16...
Условие
663059f11c8a9f386839038b
4/20/2025 5:29:41 PM
Нужно исследовать фукцию полностью 16
114
Решение
5f3eaa23faf909182968dde0
4/20/2025 8:08:50 PM
★
Написать комментарий
Меню
Решим всё
Найти задачу
Категории
Статьи
Тесты
Архив задач
Присоединяйся в ВК