Задать свой вопрос
*более 50 000 пользователей получили ответ на «Решим всё»
Задача 79748
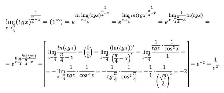
lim (tg x)^(1/(pi/4 - x)) = x -> pi/4...
Условие
63bc390595b1ce4e3210bea0
4/20/2025 5:27:33 PM
lim (tg x)^(1/(pi/4 - x)) =
x -> pi/4
математика ВУЗ
145
Решение
5f3eaa23faf909182968dde0
4/20/2025 9:51:49 PM
★
Написать комментарий
Меню
Решим всё
Найти задачу
Категории
Статьи
Тесты
Архив задач
Присоединяйся в ВК