Задать свой вопрос   *более 50 000 пользователей получили ответ на «Решим всё»

Задача 79733 1. Найти производную второго порядка...

Условие

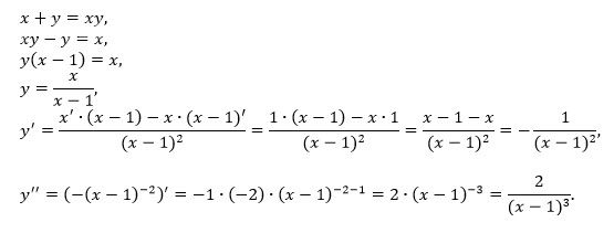
1. Найти производную второго порядка функции

2.Вычислить приближено с помощью дифференциала: arctg (0,93)

3. Найти границу:

математика колледж 110

Решение

Написать комментарий

Меню

Присоединяйся в ВК