Задать свой вопрос
*более 50 000 пользователей получили ответ на «Решим всё»
Задача 79684
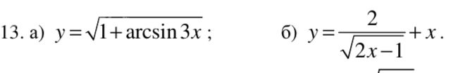
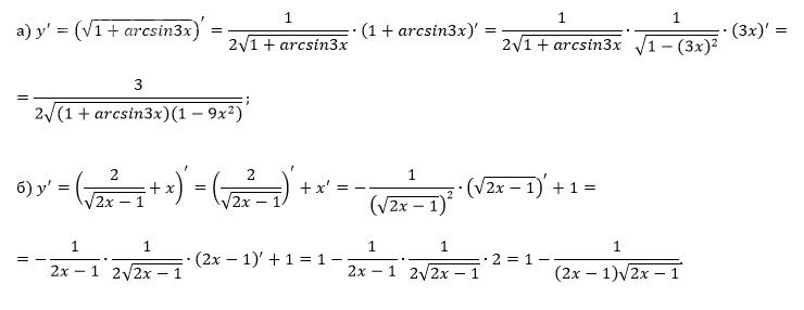
Найти производную от заданной функции....
Условие
63bc390595b1ce4e3210bea0
4/9/2025 9:12:23 PM
Найти производную от заданной функции.
математика ВУЗ
88
Решение
5f3eaa23faf909182968dde0
4/10/2025 4:06:43 AM
★
Написать комментарий
Меню
Решим всё
Найти задачу
Категории
Статьи
Тесты
Архив задач
Присоединяйся в ВК