1) 1 - √(1 + 5x) = x;
2) √(-x - 9) = x + 9;
3) √(x + 3) = 2x + 5;
4) √(x - 2) = 4 - x;
5) √(x - 1) = 3 - x;
6) √(2x - 4) = 6 - x;
3. Решить уравнения:
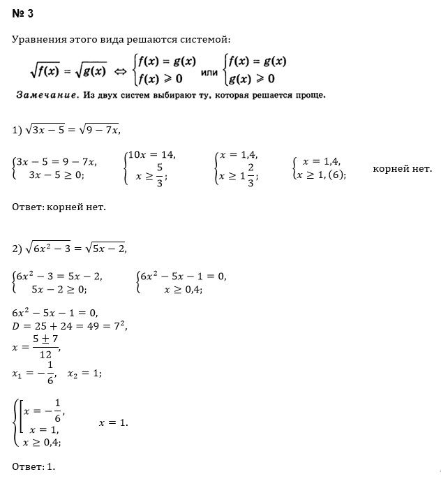
1) √(3x - 5) = √(9 - 7x);
2) √(6x^2 - 3) = √(5x - 2);
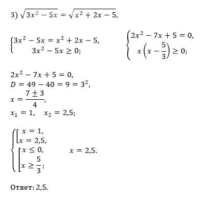
3) √(3x^2 - 5x) = √(x^2 + 2x - 5);
4) √(x^5 - x + 1) = √(1 - 2x^5);
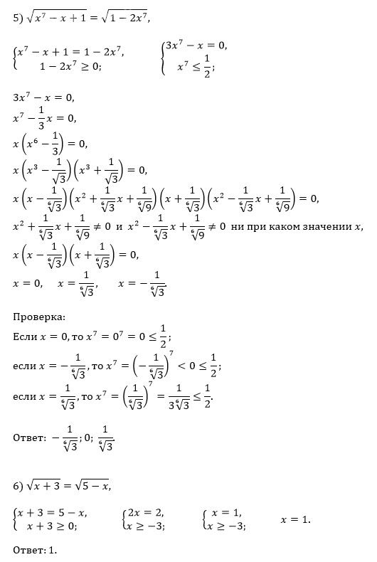
5) √(x^7 - x + 1) = √(1 - 2x^7);
6) √(x + 3) = √(5 - x);





