Задать свой вопрос
*более 50 000 пользователей получили ответ на «Решим всё»
Задача 79650
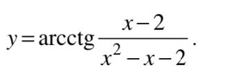
Выяснить характер точек разрыва функции....
Условие
672457a75a00e67c51d40736
3/29/2025 4:42:15 PM
Выяснить характер точек разрыва функции.
математика ВУЗ
97
Решение
5f3eaa23faf909182968dde0
3/30/2025 3:14:08 PM
★
Написать комментарий
Меню
Решим всё
Найти задачу
Категории
Статьи
Тесты
Архив задач
Присоединяйся в ВК