Задать свой вопрос
*более 50 000 пользователей получили ответ на «Решим всё»
Задача 79648
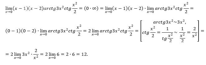
Вычислить предел, используя...
Условие
63bc390595b1ce4e3210bea0
3/29/2025 5:53:50 PM
Вычислить предел, используя эквивалентные функции
математика ВУЗ
92
Решение
5f3eaa23faf909182968dde0
3/30/2025 9:44:02 AM
★
Написать комментарий
Меню
Решим всё
Найти задачу
Категории
Статьи
Тесты
Архив задач
Присоединяйся в ВК