Задать свой вопрос
*более 50 000 пользователей получили ответ на «Решим всё»
Задача 79647
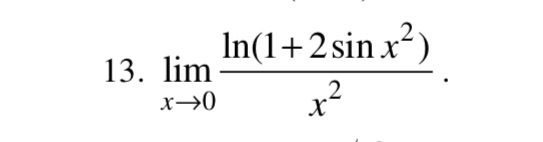
Найти предел, используя первый и второй...
Условие
63bc390595b1ce4e3210bea0
3/29/2025 5:51:35 PM
Найти предел, используя первый и второй замеча-
тельные пределы.
математика ВУЗ
99
Решение
5f3eaa23faf909182968dde0
3/30/2025 9:30:06 AM
★
Написать комментарий
Меню
Решим всё
Найти задачу
Категории
Статьи
Тесты
Архив задач
Присоединяйся в ВК