Задать свой вопрос
*более 50 000 пользователей получили ответ на «Решим всё»
Задача 79599
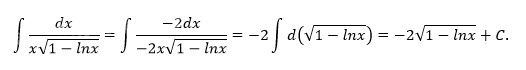
Нужно решить задачу, ...под знак d.....
Условие
663059f11c8a9f386839038b
3/18/2025 7:27:35 PM
Нужно решить задачу, ...под знак d..
55
Решение
5f3eaa23faf909182968dde0
3/19/2025 3:40:51 AM
★
Написать комментарий
Меню
Решим всё
Найти задачу
Категории
Статьи
Тесты
Архив задач
Присоединяйся в ВК