Задать свой вопрос
*более 50 000 пользователей получили ответ на «Решим всё»
Задача 79596
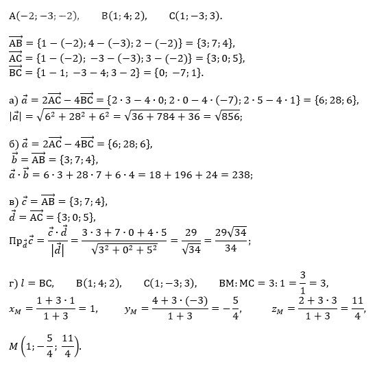
По координатам точек А, В и С...
Условие
67cad5d94a42d47e1ecae144
3/14/2025 9:08:14 AM
По координатам точек А, В и С
математика ВУЗ
78
Решение
5f3eaa23faf909182968dde0
3/14/2025 3:56:04 PM
★
Написать комментарий
Меню
Решим всё
Найти задачу
Категории
Статьи
Тесты
Архив задач
Присоединяйся в ВК