Задать свой вопрос
*более 50 000 пользователей получили ответ на «Решим всё»
Задача 79522
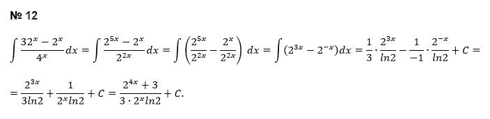
Решить интеграл, по частям номер 12...
Условие
6654737b3528112db82d8cf9
3/6/2025 5:23:55 PM
Решить интеграл, по частям номер 12
53
Решение
5f3eaa23faf909182968dde0
3/6/2025 8:08:02 PM
★
Написать комментарий
Меню
Решим всё
Найти задачу
Категории
Статьи
Тесты
Архив задач
Присоединяйся в ВК