Задать свой вопрос
*более 50 000 пользователей получили ответ на «Решим всё»
Задача 79493
Нужно решить задачу номер 12...
Условие
675ab27187aa81739148baf3
3/6/2025 2:32:38 PM
Нужно решить задачу номер 12
63
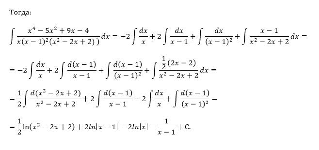
Решение
5f3eaa23faf909182968dde0
3/6/2025 5:08:32 PM
★
Написать комментарий
Меню
Решим всё
Найти задачу
Категории
Статьи
Тесты
Архив задач
Присоединяйся в ВК