Задать свой вопрос
*более 50 000 пользователей получили ответ на «Решим всё»
Задача 79492
Нужно решить задачу методов триго...12...
Условие
675ab27187aa81739148baf3
3/6/2025 2:31:15 PM
Нужно решить задачу методов триго...12
55
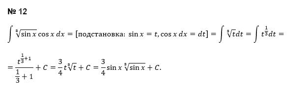
Решение
5f3eaa23faf909182968dde0
3/6/2025 5:14:19 PM
★
Написать комментарий
Меню
Решим всё
Найти задачу
Категории
Статьи
Тесты
Архив задач
Присоединяйся в ВК