Задать свой вопрос   *более 50 000 пользователей получили ответ на «Решим всё»

Задача 79427 ...

Условие

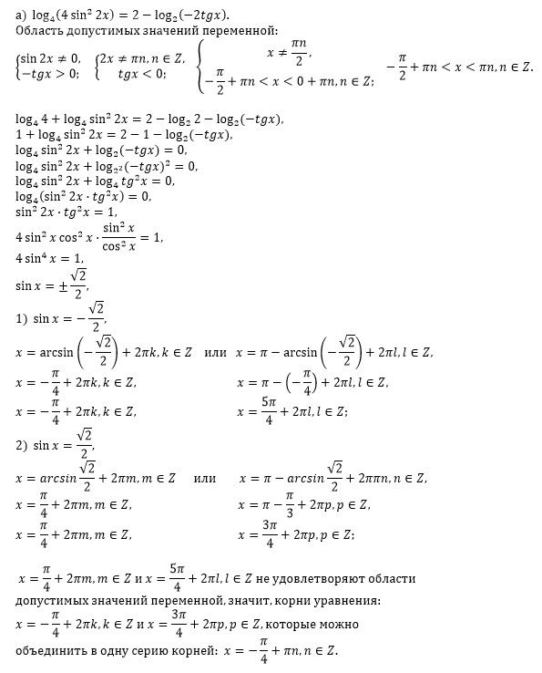
A) Решите уравнение log₄(4sin²(2x)) = 2 - log₂(-2tg(x)).
Б) Найдите все корни уравнения, принадлежащие отрезку [2025π; 2027π].

Источник: alexlarin.net, вариант 493

математика 10-11 класс 417

Решение

Написать комментарий

Меню

Присоединяйся в ВК